徠卡機器人全站儀助力三等水準測量
一、前言
目前高程測量方法一般分為幾何水準測量、GPS水準測量和三角高程測量三大類。采用傳統水準的方法測定點與點之間的高差,所得到的地面點高程精度較高,普遍用于建立國家高程控制點及測定高等級地形控制點的高程。對于地面高低起伏較大的地區,采用這種方法測定地面點的高程進程緩慢,有時甚至非常困難。

精密三角高程測量在丘陵地、山地、高山地區相比常規水準測量,因架站少、架站自由、靈活、快速,不需要量測儀器、棱鏡高,傳遞高程優勢顯著,能大大降低外業勞動強度,但受限于全站儀的硬件性能,此前一直未能在生產中實際應用;徠卡測量機器人的出現,打破了三角高程測量不能代替高精度水準測量的束縛,徠卡自動全站儀多測回自動觀測、自動識別限差,給野外測量帶來很大的便利,尤其夜間觀測成果更佳。
二、精密三角高程測量技術的可行性研究

作業流程:
檢測棱鏡互差,并檢核棱鏡的加裝是否符合要求,同時還要對全站儀進行組合檢校;
在起點布設棱鏡桿,在距離起點較近的一點(轉點1),布設主站;
主站在轉點1依次觀測棱鏡桿低棱鏡(①)和棱鏡桿高棱鏡(②);
主站不動,在轉點2架設輔站。依次進行如下觀測:后測站觀測低棱鏡(③)、前測站觀測低棱鏡(④)、前測站觀測高棱鏡(⑤)、后測站觀測高棱鏡(⑥);
主站換站至轉點3,輔站不動。依次進行如下觀測:后測站觀測低棱鏡(⑦)、前測站觀測低棱鏡(⑧)、前測站觀測高棱鏡(⑨)、后測站觀測高棱鏡(⑩);
輔站換站,依次循環進行高程的傳遞至接近末點處;
在最后的轉站,主站依次觀測末點高低棱鏡。
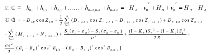
數據模型:

限差

三、項目驗證
為了驗證精密三角高程測量的精度, 內蒙古自治區測繪院使用徠卡TCRA1201全站儀、徠卡TS30全站儀及徠卡TS60全站儀等檢測了很多段用數字電子水準儀測得二等水準路線。其結果如表所示, 精密三角高程測量是完全可以達到二等水準測量的要求。

四、經驗積累、廣泛應用
自2010年5月以來,內蒙古自治區測繪院在呼和浩特、包頭、鄂爾多斯、巴彥淖爾市、烏蘭察布市、赤峰市已成功的使用徠卡自動全站儀精密三角高程測量代替二等水準測量1700多千米;在烏蘭察布市、呼倫貝爾市、興安盟、赤峰市等地方成功的使用徠卡自動全站儀精密三角高程測量代替三等水準測量4000多千米。

經過數年的研究,不同時間,不同區域,所測得的數據基本都能滿足國家二等水準測量規范的要求。徠卡自動全站儀搭配三角高程測量軟件、計算軟件和正確的測量方法,達到了目的和效果。同時我們也積累了諸多的外業經驗:
盡可能使用無伸縮腳架觀測,測段起、末水準點上,對中桿要放穩,保持高度不。
對向觀測時,如一站觀測時間過長,應重測對向觀測。
白天平均氣溫超過26℃時,在保障安全的作業前提下,最好在夜間作業,提前踏勘、選定觀測路線和測站點,更能顯著提高作業效率。
白天作業視線長度不宜超過800米,經過大量測量數據證明500米左右為最佳觀測距離。
白天作業時間遵照水準測量規范上的要求,由于在陽光直射和地面溫度較高,熱氣浪大時大氣折光影響較大。
自動照準觀測,視場內不能有遮擋物在棱鏡前。
視線不能通過煙火上空,觀測目標背后不能有大面積反光地物(蔬菜大棚),大面積水域。
在ATR自動照準時盡量避免陽光直射,由于正對太陽時,在自動照準光路中會有噪聲,從而影響自動照準的精度。

五、總結
傳統二、三等水準在山地、高山的測量中,需要耗費大量的人力、物力和財力,且效率極低。以傳統水準測量為例,在山地連測二、三等水準,單程連續觀測前后視距5-10米,一站一站連測,一個組一天連測3-5公里左右,依據財政部、國家測繪局2009 年頒布的《測繪生產成本費用定額》計算,100個水準點需要聯測1000千米。若對這些點進行二等水準觀測,100個水準點觀測的費用為207萬元,一個組5人需要400天完成。而同樣任務利用徠卡自動全站儀精密三角高程聯測二等水準,一個組一天聯測8-10公里左右,200天以內就可以完成1000千米的水準測量,節省大量的人力、物力。應用徠卡自動全站儀精密三角高程代替二、三等水準測量在困難地區聯測,可產生巨大的經濟效益。
徠卡自動全站儀精密三角高程測量具有傳遞高程靈活、方便、受地形條件限制較少等優點,徠卡測量機器人超高的測角測距精度,為精密三角高程測量提供了硬件保障,目前徠卡自動全站儀精密三角高程測量在大地測量、工程測量中得到了廣泛的應用。
更多相關
科力達KL-03電子水準儀的特點及優勢
科力達KL-03電子水準儀是一款高精度、智能化的現代測量儀器,廣泛應用于建筑工程、道路施工、水利工程及地形測繪等領域。其設計融合了多項先進技術,以高效、精準和用戶友好性為核心,成為工程測量中的可靠工具...
測繪無人機在災害治理中的應用
7月23日晚,老撾南部阿速坡省一座水電站發生潰壩事故,泄出50億立方米洪水,造成26人喪生、數百人失蹤,超過6600名村民無家可歸。正在老撾執行自然資源部所屬衛星測繪應用中心航空航天遙感國際合作任...
完善測繪法制改革 凝心聚力共促發展
“法律是治國之重器,良法是善治之前提。”在黨中央、全國人大、國務院的關懷重視下,在有關部門、單位的大力支持下,在全系統、全行業的密切配合下,2017年4月27日,十二屆全國人大常委會第二十七次會議...
徠卡ICR80建筑BIM版全站儀在某項目MEP放樣應用
一、案例背景 某項目總建筑面積約為21700平方米,地下共兩層,其中人防區18000平方米。該項目目前地下一層區域結構部分已經完成,馬上要進入到機電施工階段,且項目目前已經使用Revit軟件建...
徠卡全站儀“一步測量法”地形測量方案
無人機測圖、GPS測圖是我們最優先考慮的測圖方式,遇到密集遮擋、地下空間測圖等,我們不得不采用傳統全站儀進行測圖。但在此時,使用全站儀也需要頻繁搬站才能完成,所以留給全站儀的都是最難啃的“硬骨頭...
中緯ZOOM35全站儀的特點與優勢
中緯ZOOM35全站儀的特點與優勢中緯ZOOM35全站儀是一款高精度、高效率的測量工具,廣泛應用于建筑、道路、礦山等領域。其特點和優勢主要體現在以下幾個方面:一、高精度測量測角精度高:ZOOM35采...
先臨FreeScan Combo計量級高精度三維掃描儀
先臨高精度三維掃描儀FreeScanCombo:重新定義三維數字化體驗在工業設計、逆向工程、質量檢測及文化保護等領域,高精度三維掃描技術正成為不可或缺的工具。先臨三維(Shining3D)作為全球...
RTK全面步入無基站輕松測繪時代,“一臺設備,一個賬號”坐享全國厘米級精度
從2014年至今,北斗地基增強系統已在全國部署了1000余個基站,連成的全國一張網,已經能為行業及普通客戶提供高精度定位服務。這是從獨立“建電站”,發展到“組建電網”提供的公共服務。 這是全...











環球測繪微信